One Oasis Condominium is located in Mabolo, Cebu City. It is a 3-hectare Residential Condominium community designed to cater to the needs of people on-the-go who seek the convenience of being at the heart of the city while enjoying the refreshing ambience of landscaped greens and open spaces
Almost a hectare, out of 3.2 hectares, is dedicated for resort-themed amenities such as clubhouse, swimming pool, play courts, and gardens.
Location: Pres. Magsaysay Extension, Barangay Kasambagan, Cebu City (Across the back gate of Cebu International Education)
ONE OASIS CEBU. Come Home to Resort-Inspired Amenities. Every single day is bathed in refreshing greenery and breathtaking vistas of the City. And every moment is a promise of tranquility, leisure and convenience. This is Life at OneOasis Cebu, a 3.7 hectare Mid-Rise Residential Condo community developed by Filinvest at the heart of Uptown Mabolo, Cebu City,
Product Offering:
- 2 Bedroom Unit
- 3 Bedroom
- Parking – open Parking, first come, first served
Unit Finishes:
- Floor – Vinyl tiles, vinyl planks (Bedroom), ceramic tiles (Toilet)
- Wall – Painted concrete wall
- Window – Clear glass on aluminum frame sliding window
- Door – Panel door with mahogany finished
- Toilet – Toilet lavatory, water closet, shower set
- Kitchen – Kitchen sink with base cabinet
READY FOR OCCUPANCY
Bldg. 1,2,3 & 4
STUDIO & 2 BEDROOMS

TYPICAL PLAN

PRICE LIST AS OF SEPT. 2017

SAMPLE COMPUTATION AS OF MAY 6, . 2017
BLDG. 5

BLDG. 3 – BLDG. 2 ( RFO )

INVENTORY BLDG. – 5 INVENTORY

2 Bedtoom Unit Details / 2nd Floor
Unit Features:
2 Bedrooms w/walk in closet
Toilet and Bath
Living, Dining,Kitchen
Floor No./ Unit No.: 3807 (Facing golf course)
Unit Area : 36.20 sq. m.
Balcony (sq m) : 5.14 sq. m.
Total Contract Price: P 3,770,581.00
Reservation Fee: P 30,000.00
PAYMENT OPTIONS & SAMPLE COMPUTATION:
1) SPOT CASH
A) 90% Upon Reservation – Net of 8% Discount – P 2,827,530.00
10% Retention (upon availability of CCT) 314,170.00
B) 90% in 30 days after Reservation – Net of 5% Discount – P 2,879,837.00
10% Retention (upon availabiltiy of CCT under FLI) 323,315.00
2) Bank Financing
10% DP -Payable in 12 months – P 28,922.00/mo.
90% – P 3,393,523.00 – thru Bank
3) Deferred Cash
Monthly Installment for 18 months – P 211,208.00/mo.
4) In-House Financing with 20% DP/ 80% In-house financing
20% DP. – Payable 12 months = P 60,343.00
80% Balance P 3,016,465.00
5 years to pay at 13.5% interest pa – P 72,148.00/mo.
7 years to pay at 17% interest pa – P 64,384.00/mo
10 years to pay at 19% interes pa – P 59,049.00/mo
3 Bedroom Unit Details ( 3 BR Unit is located at the 10th Floor or Top Floor of the Building )
UNIT AREA: 72.40 sq. m. / 10th Floor
Balcony: 8.64 sq. m.
Total Contract Price: P 7,470,418
Reservation Fee: P 20,000.00
BUILDING 3 – Inventory & Price
PAYMENT OPTIONS and SAMPLE COMPUTATION:
1) SPOT CASH
8% Discount Upon Reservation : -P6,852,785
5% Discount within 30 days after RF : 7,076,897
DEFERRED CASH
24 months @ 0% interest : 317,202
2) Bank Financing
10% Down payment less RF : 727,042
10% DP in 18 month installment : 40,391
90% – thru Bank 6,723,376
3) In-House Financing / with 20% DP/ 80% In-house financing
20% DP. less : Reservation : 1,474,084
20% DP in 18 monthly installment : 81,894
80% Balance : In- House or Bank Financing : 5,976,335
5 years to pay at 13.5% interest pa – P 137,242.00/mo.
7 years to pay at 17% interest pa – P 122,472.00/mo
10 years to pay at 19% interes pa – P 112,324.00/mo
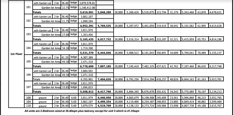
1ST FLOOR
Unit Number : 101
Unit Type : 2-bedroom
Unit Area (sq m ) : 36.51
TLP : 2,951,02.00
Total Contract Price (TCP) : 3,083,822 –
with Garden Lot : 1,344,500
Total Contract Price (TCP) : 1,566,343 – 4,650,165
BUILDING – 4
4th floor – 402
Studio / 402
Unit Area : 22.02
Total List Price : 1,756,216.00
Total Contract Price : 1,835,246.00
Reservation Fee : 20,000.00
SPOT CASH
8% Discount Upon Reservation : 1,668,426.00
5% Discount within 30 days after RF : 1,723,483.00
Deferred Cash 24 months 0% interest : 77,284.00
BANK FINANCING
15% Downpayment less Reservation Fee : 255,287.00
Promo DP for 18 months 0% interest : 14,183.00
85% Bank : 1,559,959.00
IN-HOUSE FINANCING
20% Downpayment less Reservation Fee : 347049.00
Promo DP for 18 months 0% interest : 19,281.00
80% In-house or Bank Financing : 1,468,197.00
TURN OVER W/N THIS YEAR – 2014
BUILDING 3 – Inventory & Price
More than Php200,000 to Php450,000 DISCOUNT !!!
- 24-Hour Security
- Perimeter Fence
- Clubhouse and Gazebo
- Grand Entrance Gate
- Guardhouse with Theme Wall
- Swimming Pool (Adult and Kids)
- Basketball Court
- Children’s Play Area
- Jogging/Walking paths
- Efficient Water, drainage and power distribution system
PHOTOS
LOCATION

Located at Pres. Magsaysay Ext., Bgry. Kasambagan, Mabolo, Cebu City, your home is highly accessible through public transport along F. Cabahug Avenue.
Landmarks
• Castle Peak – 1.7 km
• Mabolo – 2 km
• Sarrosa International Hotel – 2 km
• Banilad – 2.1 km
• Cebu Business Park – 2.2 km
• Center for International Education – 2.3 km
• Cebu Country Club – 2.5 km
ENTRANCE GATE

SITE DEVELOPMENT PLAN

BLDG. 5 – Pre-Selling ( Turn Over last Quarter of this year 2017
BLDG. 5 – ALL 2 – BEDROOMS
HLURB – LICENSE TO SELL NO. 2127
Bldg. 1 – 030378
Bldg. 2 – 030379
Bldg. 3 – 030380
Bldg. 4 – 029491
Bldg. 5 – 030331
For more info & for site viewing:
Pls. Contact:
NESTOR O.. CALIBO
Property Consultant
MauRealty & Brokerage
HLURB-CVRFO-A-01/17-2973
Landline – – – (032) 516-5441/ (032) 415-3974
Sun – – – – – – -+639255003410 / +639329691358
Globe – – – – – +639176207235
email – – – – – nestycalyx@gmail.com






